17.07.24

Nach Wimbledon hab ich als Statistik-Nerd ein wenig recherchiert und auf tennis-wetten.eu tolle Sachen gefunden: Die längste Siegesserie gehört Guillermo Vilas (46 Siege), niemand war länger auf Nr. 1 als Novak Djokovic (390 Wochen), der mit 24 auch die meisten Grand Slam Titel gewonnen hat. •Wimbledon Rekordchampion ist Roger Federer (8 Titel), French Open Rekordsieger Rafael Nadal (14 Titel, unpackbar), Australian Open Rekordchampion wieder Novak Djokovic (10 Titel) und US Open Rekordsieger sind Jimmy Connors, Pete Sampras, Roger Federer (je 5 Titel). Es ist wieder Djokovic, der bei den ATP Finals den Rekord hält (7), die meisten Turniersiege holte Jimmy Connors (109 Titel). Spannend auch folgendes: Kürzestes Match: Clavet – Shan bei den Shanghai Open 2001 (25 min), längstes (und wohl legendärstes) Match Isner – Mahut am 22. Juni 2010 (11h 5min). Keine Ahnung hatte ich, dass der härteste Aufschlag vom Schläger von Samuel Groth (263 km/h) kam. Was ich wiederum wusste ist die beste Jahresbilanz: John McEnroe 1984 (82 Siege zu 3 Niederlagen). Big Mac war eine erste grosse Aktivität von mir als Fanboy.

 

DC-Tower 2: Kapitalmarkt für Licht ins Dunkel 2018, die Sache mit der Benefiz CD #...

Und gleich noch etwas in Bezug auf den DC Tower: Rolf Majcen, FTC, ist Ex-Champ beim Business Athlete Award für Sieger in Sport und Wirtschaft. Nun haben wir bei einem Brainstorming-Run eine - wie ich glaube - spektakuläre Charity-Aktion entwickelt, die eine Verbindung unseres jährlichen Fundraisings für die offizielle Licht ins Dunkel CD mit folgendem darstellt:Rolf hat bei bisher 152 Wettkampf-Treppenläufen 99 verschiedene Bauwerke auf 5 Kontinenten erklommen (2 Weltrekorde) und möchte für das 100. Bauwerk die Strecke Donauturm (inkl. Treppen) – DC-Tower (inkl. Treppen, höchstes Gebäude von Österreich) – IZD-Tower (inkl. Treppen) – Donauturm 2x laufen. Das ergibt insgesamt etwa 5000 Stufen, 1000 Höhenmeter. Zeitziel: 100 Minuten...     » Weiterlesen


 

Das Frauen-Nationalteam back in action! (Nina Burger via Facebook)

05 Jun

Gast Facebook

Das Frauen-Nationalteam back in action! Morgen reisen wir nach Finnland, wo wir am Freitag (17 Uhr) unser nächstes WM-Qualispiel bestreiten.Danach geht es direkt weiter nach Israel, denn am Dienstag in einer Woche (18:30 Uhr) steht gleich das nächste Auswärtsspiel auf dem Programm!Ihr könnt beide Spiele live in ORF Sport + verfolgen und uns so von der Heimat die Daumen drücken # OneHeartOneGoal # wmquali # FINAUT # ISRAUT | fussballreisen.at p>Diskussion und Inspiration zur Sportschreiberei auf Sportsblogged      » Weiterlesen


 

DC-Tower 1: Zu Besuch im Tradingbüro Onstex im 30. Floor #gabb

Die bereits 100. Ausgabe unseres #gabb bespielen wir aus Österreichs höchstem Turm, dem Vienna DC Tower . Das passt gut, da der ATX heute zunächst auch ein klein wenig steigt. Zu Besuch sind wir gerade bei Patrick Sokolovsky , Founder & CEO von Onstex , der uns in Österreichs wohl modernstes Handelsbüro, das auch Privaten zur Verfügung steht, eingeladen hat. Also zunächst ging es mit dem Lift in the 30th Floor von besagtem DC Tower ... Hallo Patrick, danke für die Einladung anlässlich #gabb 100. Ich sage mal nur wow. Und frage nach: Was macht Ihr hier exakt? Patrick Sokolovsky: Wir bieten Trading-Workstations, Handelstische an. Dies einerseits für private Online-Trader, aber auch für Firmen und Kapitalverwalter, Handelsbüros für pr...     » Weiterlesen


 

Alibaba: Alles andere als ein Selbstläufer (Christian-Hendrik Knappe)

Alibaba konnte zuletzt ein rasantes Konzernwachstum an den Tag legen. Doch dieses ist wie auch im Fall des großen US-Konkurrenten Amazon nicht zum Nulltarif zu haben. Zudem könnte die Politik Alibaba und andere chinesische Konzerne daran hindern, sich außerhalb ihres Heimatmarktes frei zu entfalten. Der chinesisch-amerikanische Handelsstreit hält die Aktienmärkte immer noch in Atem. Dabei ist den US-Amerikanern nicht nur Chinas Exportüberschuss ein Dorn im Auge. Auch das Handeln einiger Unternehmen wird kritisch gesehen. In den Fokus geriet vor allem der Telekommunikationsausrüster ZTE. Auch andere chinesische Unternehmen drängen inzwischen auf die Weltmärkte. Der Kampf um Marktanteile dürfte dabei mit harten Bandagen geführt werden. Schließl...     » Weiterlesen


 

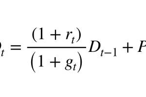
Italy: Public debt sustainability (Martin Ertl)

05 Jun

Martin Ertl

Italy’s debt sustains a large interest rate shock as long as the budget is kept under control. Debt sustainability depends on fiscal discipline and continued primary fiscal surpluses. Public debt is predominantly held by residents; primarily by financial institutions and the central bank. In 2017, Italy’s government debt reached 131.5 % of GDP which is one of the highest values in the Euro Area. We perform a debt sustainability analysis (DSA), that is, simplified though insightful, based on the formula [pic5,left,200] where Dtis the debt to GDP ratio, rtis the average annual nominal interest rate paid on government debt, gtis the nominal GDP growth rate and PBtis the primary general government balance in year t [1]. If we assume for a moment that the primary budget (fiscal reven...     » Weiterlesen


31.07.24

global market. 7 Monate 2024 sind vorbei und die Wiener Börse hat in diesen sieben Monaten mehr Handelsvolumina verbuchen können als in den ersten 7 Monaten 2023, der Zuwachs ist im einstelligen Prozentbereich, aber immerhin. Auch im früher stark promoteten global market ist es erstmals seit Jahren wieder etwas nach oben gegangen, im Gesamtjahr 2021 lag dort das Jahresvolumen noch bei 5,5 Mrd. (das ist ca. ein Monatsumsatz im Prime Market), 2022 waren es nur noch 1,3 Mrd.. und 2023 gab es sogar den Fall unter die Mrd. Euro. In den ersten sieben Monaten 2024 ist es wieder leicht nach oben gegangen, ob die Mrd. End of Year wieder erreicht werden kann, ist aber unklar. Es gibt zwar im global market günstige Konditionen, aber die Broker stellen Wien bei den internationalen Aktien nicht so in die Pole Position und die Markttiefe könnte natürlich ebenfalls besser sein. Keine einfache Aufgabe, diese wichtigste Aktienfacette im Vienna MTF, denn es geht immerhin um die wichtigsten Aktien der Welt. Ich bin ja der Meinung, dass das Tagesgeschäft viel mehr promotet gehört, davon würde auch der global market profitieren.